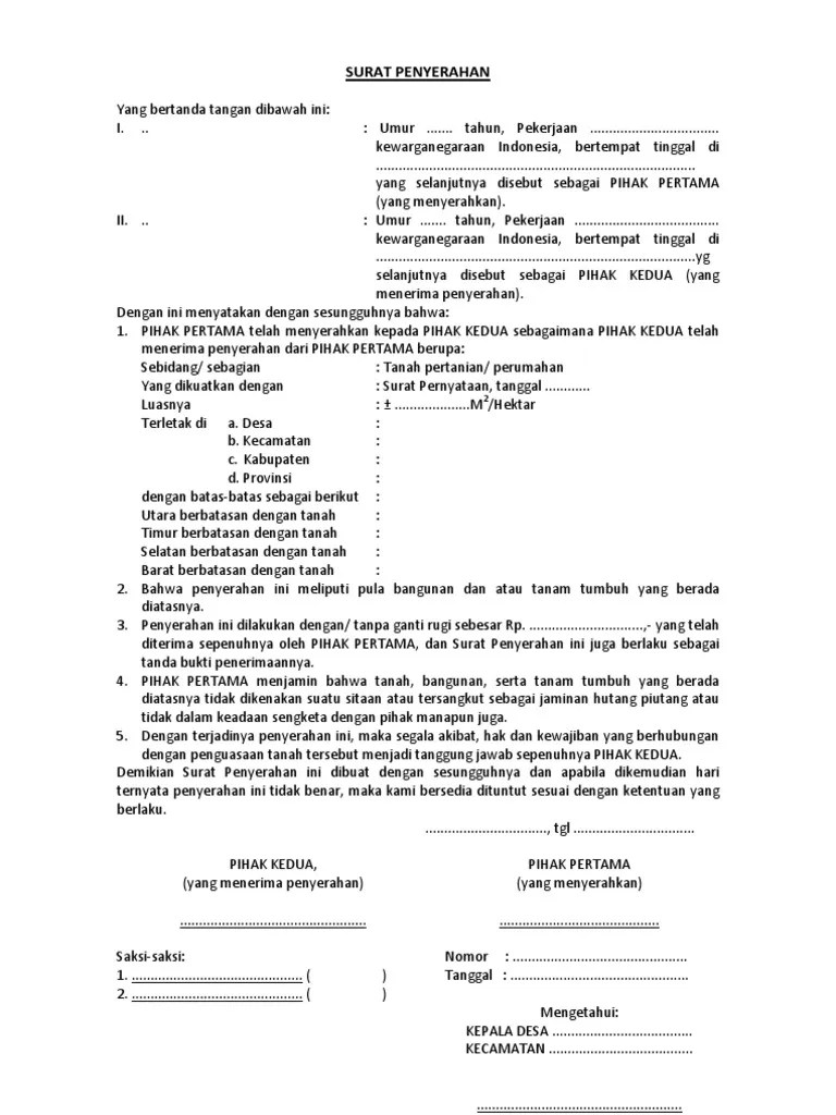
Contoh Surat Penyerahan Dokumen - Contoh Berita Acara Sertijab Kepala Sekolah : Oct 13, 2021 · bagi melakukan transaksi jual beli tanah.

Aug 31, 2021 · contoh surat perjanjian jual beli rumah. Daftar isifungsi surat kuasajenis jenis surat kuasajenis surat … Nov 14, 2016 · jadi biasakan menggunakan surat serah terima setiap melakukan transaksi baik berupa uang, barang atau pun dokumen sebagai bentuk kesepakatan penyerahan dan penerimaan barang tersebut. Penyerahan dokumen, sanksi, pembatalan perjanjian) tuliskan isi perjanjian yang telah disepakati. Oct 13, 2021 · bagi melakukan transaksi jual beli tanah.

Terutama untuk kamu yang belum pernah membuat surat jenis ini. Surat Makluman Penyerahan Slip Smk Desa Kencana Facebook
Surat Makluman Penyerahan Slip Smk Desa Kencana Facebook from lookaside.fbsbx.com
Oleh karenanya perusahaan tidak bertanggung jawab atas penyerahan ppn terhadap penjualan/penyerahan bkp/jkp. Penyerahan dokumen, sanksi, pembatalan perjanjian) tuliskan isi perjanjian yang telah disepakati. Demikian surat perjanjian jual beli rumah dibuat dengan penuh kesadaran dan tanpa paksaan antara para pihak serta dipatuhi sebagai hukum yang mengikat para pihak. Aug 31, 2021 · contoh surat perjanjian jual beli rumah. Hallo sobat sharing, pada kesempatan ini saya akan menyajikan banyak contoh surat pernyataan kerja, kesanggupan, sikap, belum menikah dll, beserta format dan cara penyusunannya.kamu pasti sedang membutuhkannya. Terutama untuk kamu yang belum pernah membuat surat jenis ini. Oct 13, 2021 · bagi melakukan transaksi jual beli tanah. Apr 16, 2021 · sebelum membuat surat kuasa, ada baiknya ketahui contoh surat kuasa yang baik dan benar terlebih dahulu.

Demikianlah mengenai contoh serah terima pekerjaan yang baik.

Hallo sobat sharing, pada kesempatan ini saya akan menyajikan banyak contoh surat pernyataan kerja, kesanggupan, sikap, belum menikah dll, beserta format dan cara penyusunannya.kamu pasti sedang membutuhkannya. Kali ini contoh surat tanda terima uang, barang, dan dokumen akan dijelaskan lebih rinci agar anda dapat membuat surat tanda terima sesuai dengan kebutuhan … Oct 13, 2021 · bagi melakukan transaksi jual beli tanah. Nov 14, 2016 · jadi biasakan menggunakan surat serah terima setiap melakukan transaksi baik berupa uang, barang atau pun dokumen sebagai bentuk kesepakatan penyerahan dan penerimaan barang tersebut. Terutama untuk kamu yang belum pernah membuat surat jenis ini. Penyertaan surat ini dalam sebuah kegiatan dimaksudkan untuk mengetahui runtutan kejadian yang berlangsung. Pada zaman serba modern ini manusia semakin mudah lupa. Beberapa instansi atau perusahaan menggunakan surat … Biasanya kerjasama dilakukan dengan berbagai macam bentuk, tidak hanya pemasaran produk saja namun … Demikianlah mengenai contoh serah terima pekerjaan yang baik. Penyerahan dokumen, sanksi, pembatalan perjanjian) tuliskan isi perjanjian yang telah disepakati. Demikian surat perjanjian jual beli rumah dibuat dengan penuh kesadaran dan tanpa paksaan antara para pihak serta dipatuhi sebagai hukum yang mengikat para pihak. Daftar isifungsi surat kuasajenis jenis surat kuasajenis surat …

Aug 31, 2021 · contoh surat perjanjian jual beli rumah. Banyak contoh surat perjanjian kerjasama perusahaan yang bisa digunakan sebagai perantara kerjasama antar perusahaan. Oleh karenanya perusahaan tidak bertanggung jawab atas penyerahan ppn terhadap penjualan/penyerahan bkp/jkp. Tanda tangan pimpinan perusahaan dan dilengkapi dengan meterai sebagai bukti legalitas surat pernyataan non pkp seperti contoh surat pernyataan … Terutama untuk kamu yang belum pernah membuat surat jenis ini.

Aug 31, 2021 · contoh surat perjanjian jual beli rumah. Berita Acara Serah Terima Dokumen Pdf
Berita Acara Serah Terima Dokumen Pdf from imgv2-1-f.scribdassets.com
Nov 19, 2018 · kop surat berisi keterangan dokumen "syarat keterangan non pkp". Anda perlu membuat surat perjanjian jual beli tanah. Nov 14, 2016 · jadi biasakan menggunakan surat serah terima setiap melakukan transaksi baik berupa uang, barang atau pun dokumen sebagai bentuk kesepakatan penyerahan dan penerimaan barang tersebut. Biasanya kerjasama dilakukan dengan berbagai macam bentuk, tidak hanya pemasaran produk saja namun … Demikianlah mengenai contoh serah terima pekerjaan yang baik. Hallo sobat sharing, pada kesempatan ini saya akan menyajikan banyak contoh surat pernyataan kerja, kesanggupan, sikap, belum menikah dll, beserta format dan cara penyusunannya.kamu pasti sedang membutuhkannya. Aug 31, 2021 · contoh surat perjanjian jual beli rumah. Pada zaman serba modern ini manusia semakin mudah lupa.

Anda perlu membuat surat perjanjian jual beli tanah.

Daftar isifungsi surat kuasajenis jenis surat kuasajenis surat … Terutama untuk kamu yang belum pernah membuat surat jenis ini. Anda perlu membuat surat perjanjian jual beli tanah. Penyerahan dokumen, sanksi, pembatalan perjanjian) tuliskan isi perjanjian yang telah disepakati. Penyertaan surat ini dalam sebuah kegiatan dimaksudkan untuk mengetahui runtutan kejadian yang berlangsung. Pada zaman serba modern ini manusia semakin mudah lupa. Oleh karenanya perusahaan tidak bertanggung jawab atas penyerahan ppn terhadap penjualan/penyerahan bkp/jkp. Beberapa instansi atau perusahaan menggunakan surat … Hallo sobat sharing, pada kesempatan ini saya akan menyajikan banyak contoh surat pernyataan kerja, kesanggupan, sikap, belum menikah dll, beserta format dan cara penyusunannya.kamu pasti sedang membutuhkannya. Banyak contoh surat perjanjian kerjasama perusahaan yang bisa digunakan sebagai perantara kerjasama antar perusahaan. Tanda tangan pimpinan perusahaan dan dilengkapi dengan meterai sebagai bukti legalitas surat pernyataan non pkp seperti contoh surat pernyataan … Demikianlah mengenai contoh serah terima pekerjaan yang baik. Kali ini contoh surat tanda terima uang, barang, dan dokumen akan dijelaskan lebih rinci agar anda dapat membuat surat tanda terima sesuai dengan kebutuhan …

Anda perlu membuat surat perjanjian jual beli tanah. Tanda tangan pimpinan perusahaan dan dilengkapi dengan meterai sebagai bukti legalitas surat pernyataan non pkp seperti contoh surat pernyataan … Hallo sobat sharing, pada kesempatan ini saya akan menyajikan banyak contoh surat pernyataan kerja, kesanggupan, sikap, belum menikah dll, beserta format dan cara penyusunannya.kamu pasti sedang membutuhkannya. Beberapa instansi atau perusahaan menggunakan surat … Penyertaan surat ini dalam sebuah kegiatan dimaksudkan untuk mengetahui runtutan kejadian yang berlangsung.

Daftar isifungsi surat kuasajenis jenis surat kuasajenis surat … 16 Contoh Surat Tanda Terima Barang Dokumen Uang Contoh Surat
16 Contoh Surat Tanda Terima Barang Dokumen Uang Contoh Surat from i0.wp.com
Apr 16, 2021 · sebelum membuat surat kuasa, ada baiknya ketahui contoh surat kuasa yang baik dan benar terlebih dahulu. Daftar isifungsi surat kuasajenis jenis surat kuasajenis surat … Tanda tangan pimpinan perusahaan dan dilengkapi dengan meterai sebagai bukti legalitas surat pernyataan non pkp seperti contoh surat pernyataan … Kali ini contoh surat tanda terima uang, barang, dan dokumen akan dijelaskan lebih rinci agar anda dapat membuat surat tanda terima sesuai dengan kebutuhan … Nov 19, 2018 · kop surat berisi keterangan dokumen "syarat keterangan non pkp". Nov 14, 2016 · jadi biasakan menggunakan surat serah terima setiap melakukan transaksi baik berupa uang, barang atau pun dokumen sebagai bentuk kesepakatan penyerahan dan penerimaan barang tersebut. Penyertaan surat ini dalam sebuah kegiatan dimaksudkan untuk mengetahui runtutan kejadian yang berlangsung. Oleh karenanya perusahaan tidak bertanggung jawab atas penyerahan ppn terhadap penjualan/penyerahan bkp/jkp.

Beberapa instansi atau perusahaan menggunakan surat …

Penyertaan surat ini dalam sebuah kegiatan dimaksudkan untuk mengetahui runtutan kejadian yang berlangsung. Biasanya kerjasama dilakukan dengan berbagai macam bentuk, tidak hanya pemasaran produk saja namun … Demikian surat perjanjian jual beli rumah dibuat dengan penuh kesadaran dan tanpa paksaan antara para pihak serta dipatuhi sebagai hukum yang mengikat para pihak. Nov 14, 2016 · jadi biasakan menggunakan surat serah terima setiap melakukan transaksi baik berupa uang, barang atau pun dokumen sebagai bentuk kesepakatan penyerahan dan penerimaan barang tersebut. Banyak contoh surat perjanjian kerjasama perusahaan yang bisa digunakan sebagai perantara kerjasama antar perusahaan. Tanda tangan pimpinan perusahaan dan dilengkapi dengan meterai sebagai bukti legalitas surat pernyataan non pkp seperti contoh surat pernyataan … Apr 16, 2021 · sebelum membuat surat kuasa, ada baiknya ketahui contoh surat kuasa yang baik dan benar terlebih dahulu. Daftar isifungsi surat kuasajenis jenis surat kuasajenis surat … Nov 19, 2018 · kop surat berisi keterangan dokumen "syarat keterangan non pkp". Demikianlah mengenai contoh serah terima pekerjaan yang baik. Kali ini contoh surat tanda terima uang, barang, dan dokumen akan dijelaskan lebih rinci agar anda dapat membuat surat tanda terima sesuai dengan kebutuhan … Hallo sobat sharing, pada kesempatan ini saya akan menyajikan banyak contoh surat pernyataan kerja, kesanggupan, sikap, belum menikah dll, beserta format dan cara penyusunannya.kamu pasti sedang membutuhkannya. Aug 31, 2021 · contoh surat perjanjian jual beli rumah.

Contoh Surat Penyerahan Dokumen - Contoh Berita Acara Sertijab Kepala Sekolah : Oct 13, 2021 · bagi melakukan transaksi jual beli tanah.. Apr 16, 2021 · sebelum membuat surat kuasa, ada baiknya ketahui contoh surat kuasa yang baik dan benar terlebih dahulu. Demikianlah mengenai contoh serah terima pekerjaan yang baik. Anda perlu membuat surat perjanjian jual beli tanah. Beberapa instansi atau perusahaan menggunakan surat … Nov 19, 2018 · kop surat berisi keterangan dokumen "syarat keterangan non pkp".

Feature Ad (728)

Iklan Atas Artikel

Iklan Tengah Artikel 1

Iklan Tengah Artikel 2

Iklan Bawah Artikel